Data

Drug test dataset

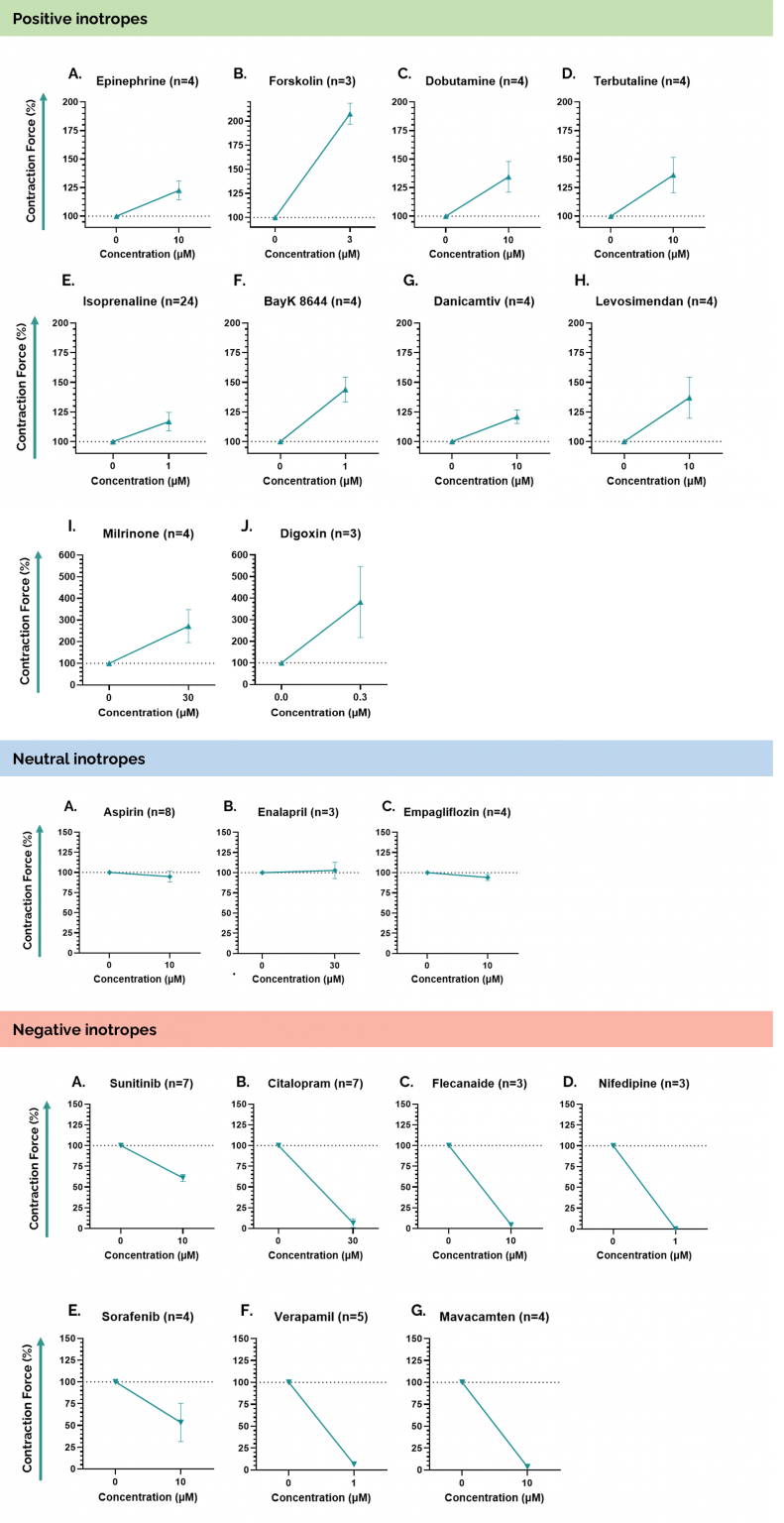
Using the µ-3D Cardiac Strip assay a library of commonly used drugs has been tested on healthy strips.